產品名稱:SRM 1967a - 高純鉑熱敏元件 標準品
英文名稱:High-Purity Platinum Thermoelement
品牌:美國NIST
| 產品編號 | 規格 | 貨期 | 銷售價 | 您的折扣價 |
|---|---|---|---|---|
| SRM 1967a | 0.51 x 1 m 鉑絲 | 現貨 | 12165 | 立即咨詢 |
- COA
- MSDS
NIST SRM 1967a 高純鉑熱敏元件(標準品)是一種高純度(約 99.999 % 質量分數)鉑絲,適合用作標準參考熱電偶,用于校準溫度范圍 –196 °C 至約 1700 °C 的jian金屬和貴金屬熱電偶材料攝氏度。 NIST 專著 175 [2] 根據 1990 年國際溫標 (ITS-90) [1] 給出了熱電偶的標準化熱電電壓與溫度關系。 SRM 1967a 取代了以前的熱電標準 SRM 1967。歷史.上,SRM 1967 通常被規定為 Pt-67;同樣,SRM 1967a 也可稱為 Pt-67a。 SRM 1967a 的一個單元由一根直徑 0.51 mm 和 1 m 長的鉑絲組成。
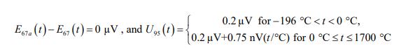
認證電動勢關系:

為 SRM 1967a 獲得的認證電動勢 (emf) 值相對于前 SRM 1967 的平均熱電響應表示。對于 0 °C 的參比端,SRM 1967 的電動勢之間的認證差異, E67 和 SRM 1967a、E67a 及其擴展不確定度如下: 其中 t 是 1990 年國際溫標上的溫度。經認證的等效值是 SRM 1967a 樣品產生的電動勢相對于 SRM 1967 和在擴展不確定性的范圍內是不確定的,± U95(t)。不確定性說明: SRM 1967a 批次與其平均值的差異; SRM 1967 批次與其平均值的差異;以及 SRM 1967 和 SRM 1967a [3,4] 的電動勢之間差異的再現性。 U95(t) 擴展不確定性表示大約 95 % 的置信區間或 2 的覆蓋因子。不確定性界限 ± U95(t) 在 1700 °C 時的值約為 ± 1.48 μV。被測量是鉑絲的電動勢關系值。這些值在計量上可追溯到電壓的 SI 單位。





陳經理(銷售)
